| The Long-Term Performance of the Nation's Highest-Ranked Universities in Enrolling Low-Income Students Federal scholarships known as Pell Grants have been a spectacular success in encouraging low-income students to enroll in college. Also, data on Pell Grants at individual colleges and universities obtained by JBHE provide an excellent measure of both an institution's commitment to, and progress in, enrolling low-income students.
In the 2003-04 academic year, more than 5.1 million college
students received federal Pell Grant awards. About 20 percent of
all Pell Grant recipients are African Americans. Therefore there
are about 1 million African-American college students who receive
a Pell Grant. With the average award of $2,466 for all recipients
the Pell Grant program contributed about $2.5 billion annually to
African-American higher education.
This past January President Bush announced a plan to increase the maximum federal Pell Grant award for low-income students $100 each year for the next five years. The maximum Pell Grant would reach $4,550 by 2011. Any increase in funds to help low-income students pay college costs is welcome news for blacks. But critics of the administration have quickly pointed out that Bush as a candidate for president in 2000 had promised to raise the maximum Pell Grant to $5,100. The new increase to $4,550 would not even match the projected rate of inflation in the 2000-2011 period. In addition, The College
Board reports that for the 2004-05 academic year the average cost
of tuition and fees for in-state students at four-year public
colleges and universities is $5,132. This increased more than 10
percent from a year ago on top of an average increase of 14
percent a year earlier. Therefore the small projected rise in Pell
Grant awards does not come close to covering current college costs
for low-income students. Also the grant will be well short of the
average cost of a public college education in 2011.
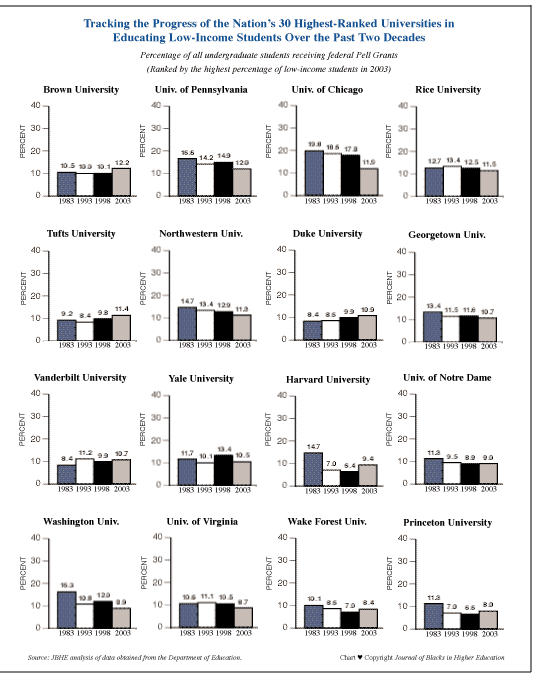
In 1976, the first year that Pell Grants were available to all low-income undergraduate students, the maximum award was $1,400. If the maximum award were indexed to the rate of inflation, today the maximum award would be $4,575, about 13 percent higher than the current level. But it must be remembered that the cost of a college education has climbed at a rate far exceeding the nation's rate of inflation. Therefore Pell Grants fall far short of keeping pace with the cost of going to college for low-income students. The College Board calculates that a Pell Grant covered 35 percent of the total cost of attending a four-year public college or university in 1980. Today the Pell Grant covers only 23 percent of the total cost of an education at a four-year state college or university. According to a JBHE analysis of data obtained from the U.S. Department of Education, over the past 20 years, only 11 of the nation's 30 highest-ranked universities have made progress in increasing the percentage of low-income students who are enrolled in their undergraduate programs. The University of California at Berkeley and the University of California at Los Angeles have recorded the biggest gains. In 1983 there were 3,888 students at Berkeley who received a Pell Grant. These low-income students made up 19.7 percent of the student body. By 2003 there were nearly 7,700 Pell Grant recipients at Berkeley. They made up 35 percent of the student body. A similar pattern prevails at
the University of California at Los Angeles. In 1983 there were
4,385 Pell Grant recipients at UCLA making up 21.5 percent of the
student body. In 2003 the 9,317 low-income students at UCLA
comprised a whopping 37.9 percent of all undergraduate students.
This is the highest level of low-income students among the 30
highest-ranked universities.
Over the 1983 to 2003 period Brown and Dartmouth were the only Ivy League colleges to post a gain in low-income students. But these gains have been slight. The percentage of low-income students at Brown and Dartmouth is less than one third the level that prevails at UCLA. Several universities have posted major declines in low-income students since 1983. At Columbia University in New York City, the number of Pell Grant recipients dropped from 1,425 in 1983 to 1,069 in 2003. This is a decline of nearly 25 percent. At Carnegie Mellon University, Pell Grant recipients dropped from 964 to 677, a decline of almost 30 percent. At the University of Michigan the number of Pell Grant recipients has been on a roller-coaster ride. In 1983 there were 4,451 students with Pell Grants. This jumped by nearly 40 percent to 6,219 in 1993. But over the next 10 years the number of Pell Grant recipients at the University of Michigan dropped from 6,219 to 3,253, a decline of 47.6 percent. In recent years several of the high-ranking universities including Harvard, Princeton, the University of Virginia, and the University of North Carolina have enriched their financial aid plans in an effort to attract more low-income students. The Princeton plan is the most generous in the nation. At Princeton, students from families with incomes below $50,000 now receive all their financial aid in the form of grants. There are no student loans. Princeton's extraordinarily generous financial aid plan has been in effect for four years. Yet, according to Department of Education Pell Grant data, Princeton still ranks last in the percentage of low-income students among the nation's highest-ranked universities. It appears that a commitment to educate more students from the lower socioeconomic classes of our society requires more than even the most generous financial aid program.
| |

