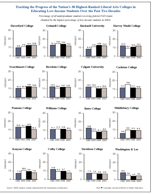
| JBHE's Ranking of the Long-Term Performance of the Nation's Highest-Ranked Liberal Arts Colleges in Enrolling Low-Income Students Federal scholarships known as Pell Grants have been a spectacular success in encouraging low-income students to enroll in college. In the previous issue of JBHE we reported the long-term performance of the nation's highest-ranked universities in educating students from low-income families. Now we report results at the nation's small, highly selective liberal arts colleges.It is well recognized that over recent years the drive for campus diversity has come to compete with established standards of academic merit in many of the choices made by institutions in higher education. Almost all colleges and universities in the United States now place major emphasis on increasing racial diversity on their campuses. But there are misconceptions about what is happening. When a leading university such as Duke or Stanford announces a freshman class that is 11 percent black, many observers of higher education, tending, as they often do, to see black people as poor people, assume that a large number of low-income, inner-city African Americans are being admitted to these pinnacle institutions of higher education. The truth is that very few low-income blacks are advancing through America's leading colleges and universities. In a recent interview Henry Louis Gates Jr., chair of the African and African-American studies department at Harvard, told the London Observer, "The black kids who come to Harvard or Yale are middle class. Nobody else gets through." Moreover, Professor Gates estimates that perhaps only one third of the black students at Harvard are the direct descendants of African slaves. All told, as we reported in the last issue of JBHE, the nation's highest-ranked universities have done a very poor job in educating students of all races from low-income families. Now we turn to the long-term performance of the nation's most prestigious liberal arts colleges in educating students from low-income families. Many of these small, highly selective colleges, particularly those dedicated to the education of women, have made great progress in increasing the number of low-income students. But much work remains to be done. Anthony Marx, president of Amherst College, the highly ranked liberal arts college in western Massachusetts, stated the case at commencement ceremonies in the spring of 2004. At that time Marx said, "At our top colleges, only one tenth of our students are drawn from the poorer half of the population, only 3 percent from the bottom quarter. Three quarters of top college students come from the wealthiest quarter of society." As a guide in measuring the progress of the nation's top liberal arts colleges in enrolling low-income students, JBHE has ob-tained Pell Grant data from the U.S. Department of Education for the past two decades. Pell Grants, named after Rhode Island senator Claiborne Pell, were first awarded in 1976. In the 2003-04 academic year more than 5.1 million low-income college students received federal Pell Grant awards. More than 20 percent of all Pell Grant recipients are African Americans. Therefore, this year there are about 1 million African-American college students who received a Pell Grant. With the average award of $2,466 for all recipients, the Pell Grant program contributed about $2.5 billion annually to African-American higher education. Ranking the Liberal Arts Colleges According to the JBHE analysis of data obtained from the U.S. Department of Education, over the past 20 years only 11 of the nation's 30 highest-ranked liberal arts colleges have made progress in increasing the percentage of low-income students who are enrolled in their undergraduate programs. In 2003 the four liberal arts colleges with the highest percentages of low-income students were all women's colleges. Smith College led all liberal arts colleges with low-income Pell Grant recipients making up 27.1 percent of all enrollments. At Mount Holyoke, 21.4 percent of all students received Pell Grants. At Barnard College and Wellesley College, Pell Grant recipients were at least 17.8 percent of the total enrollments. Another women's college, Bryn Mawr, also ranked high on the list, and Vassar College, co-ed for more than 30 years but with a continuing tradition of higher education for women, also ranked in the top tier of liberal arts colleges in educating low-income students. All women's colleges that lead the nation's highest-ranked liberal arts colleges in educating low-income students have programs encouraging young single mothers to return to school to earn a college education. Undoubtedly, many of these women have low incomes and would qualify for federal Pell Grants. Mount Holyoke College illustrates this trend. Jane B. Brown, vice president for enrollment and college relations at Mount Holyoke College, told JBHE: "Unlike many of our peer institutions, Mount Holyoke has a long tradition of providing access for low-income students. Our founder, Mary Lyon, was raised on a farm and when she founded Mount Holyoke in 1837 she was determined to keep tuition low ($60 at that time!) so that the college would be accessible to young women of 'modest means.' Today we continue Mary Lyon's commitment to enrolling students from a wide range of socioeconomic backgrounds." Mount Holyoke's Frances Perkins Scholars program is for women ages 24 to 65 who are returning to college. Many are young single mothers or older women who want to resume their education after they have raised their children. Many of these Frances Perkins scholars are struggling financially. Between 17 percent and 20 percent of all Pell Grant recipients at Mount Holyoke are enrolled in this scholarship program for nontraditional students. Over the 1983 to 2003 period Smith College posted the largest gain in enrolling low-income students. During the two-decade period the percentage of low-income students at Smith rose from 17.4 percent to 27.1 percent. At Mount Holyoke the percentage of low-income students rose from 12.9 percent in 1983 to 21.4 percent in 2003. Wellesley College also posted impressive gains from 11.4 percent in 1983 to 17.8 percent in 2003. The progress made by the eight other liberal arts colleges that showed improvement were far more modest. Overall, 19 of the 30 highest-ranked liberal arts colleges showed a decline in low-income students in the 1983 to 2003 period. And several liberal arts colleges posted major declines in low-income students since 1983. At Washington and Lee University the percentage of low-income students dropped almost in half from 8.3 percent to 4.6 percent. At Macalester College in Minnesota the percentage of low-income students decreased from 21.8 percent in 1983 to 14.6 percent in 2003. The general public is under the impression that the elite liberal arts colleges in the United States consistently turn in an outstanding performance in educating low-income students. And the glossy brochures and other marketing tools these schools offer tend to confirm the belief that huge amounts of scholarship funds assure an economically balanced student body. But as we see from the Pell Grant data, these schools educate for the most part the wealthy and upper-income students. Tuition and comprehensive fees averaging over $40,000 a year tend to confirm this result.
| |

